Lompat ke konten Lompat ke sidebar Lompat ke footer

Contoh Surat Telaahan Staf Ke Kepala Dinas : Contoh Surat Telaahan Staf Ke Bupati Contoh Seputar Surat : Bapak walikota pekanbaru dari :

Bapak walikota pekanbaru dari : Telaah staf merupakan bentuk uraian yang disampaikan oleh pejabat atau staf yang . Sk pertama dan sk terakhir. Surat keluar yang telah ditandatangani oleh kepala perangkat daerah . Penerbitan surat perintah tugas perjalanan dinas untuk.

Surat rekomendasi dari sekolah yang dituju. Contoh Surat Telaahan Staf Ke Bupati Kumpulan Surat Penting
Contoh Surat Telaahan Staf Ke Bupati Kumpulan Surat Penting from imgv2-1-f.scribdassets.com
Bapak walikota pekanbaru dari : Surat permohonan diketahui oleh kepala sekolah. Nota pengajuan konsep naskah dinas; Sk pertama dan sk terakhir. Surat pernyataan kepala perangkat daerah bahwa yang. Format peraturan mwa, sa, rektor. Surat keluar yang telah ditandatangani oleh kepala perangkat daerah . Surat dari kepala dinas peternakan provinsi kalimantan selatan no.

Kepala dinas pendidikan kota pekanbaru tanggal :

Peternakan_tala@yahoo.com telaahan staf kepada yth : Surat dari kepala dinas peternakan provinsi kalimantan selatan no. Telaah staf merupakan bentuk uraian yang disampaikan oleh pejabat atau staf yang . Penerbitan surat perintah tugas perjalanan dinas untuk. Bapak walikota pekanbaru dari : Surat keluar yang telah ditandatangani oleh kepala perangkat daerah . (1) kepala skpd menandatangani naskah dinas dalam bentuk dan susunan surat sebagaimana dimaksud dalam pasal 15 . Surat rekomendasi dari sekolah yang dituju. Format kepala naskah dinas (kop surat, kop sampul); Kepala dinas pendidikan kota pekanbaru tanggal : (4) format perjanjian kerja sebagaimana dimaksud pada ayat. Format peraturan mwa, sa, rektor. Nota pengajuan konsep naskah dinas;

Surat permohonan diketahui oleh kepala sekolah. Bapak walikota pekanbaru dari : (1) kepala skpd menandatangani naskah dinas dalam bentuk dan susunan surat sebagaimana dimaksud dalam pasal 15 . Telaahan staf adalah naskah dinas dari bawahan kepada atasan antara lain berisi. (1) kepala skpd menandatangani naskah dinas dalam bentuk dan susunan surat .

Telaah staf merupakan bentuk uraian yang disampaikan oleh pejabat atau staf yang . Doc Contoh Telaahan Staf Penataan Pns Cipta Karya Lampung Timur Academia Edu
Doc Contoh Telaahan Staf Penataan Pns Cipta Karya Lampung Timur Academia Edu from 0.academia-photos.com
Surat pernyataan kepala perangkat daerah bahwa yang. Surat permohonan diketahui oleh kepala sekolah. Penerbitan surat perintah tugas perjalanan dinas untuk. Nota pengajuan konsep naskah dinas; (1) kepala skpd menandatangani naskah dinas dalam bentuk dan susunan surat sebagaimana dimaksud dalam pasal 15 . (1) surat edaran merupakan naskah dinas yang memuat. Surat dari kepala dinas peternakan provinsi kalimantan selatan no. Format kepala naskah dinas (kop surat, kop sampul);

Surat keluar yang telah ditandatangani oleh kepala perangkat daerah .

(1) kepala skpd menandatangani naskah dinas dalam bentuk dan susunan surat sebagaimana dimaksud dalam pasal 15 . Format peraturan mwa, sa, rektor. Surat permohonan diketahui oleh kepala sekolah. Nota pengajuan konsep naskah dinas; Surat dari kepala dinas peternakan provinsi kalimantan selatan no. Penerbitan surat perintah tugas perjalanan dinas untuk. (1) surat edaran merupakan naskah dinas yang memuat. Telaah staf merupakan bentuk uraian yang disampaikan oleh pejabat atau staf yang . Sk pertama dan sk terakhir. Bapak walikota pekanbaru dari : Surat pernyataan kepala perangkat daerah bahwa yang. (1) kepala skpd menandatangani naskah dinas dalam bentuk dan susunan surat . Kepala dinas pendidikan kota pekanbaru tanggal :

Surat dari kepala dinas peternakan provinsi kalimantan selatan no. (4) format perjanjian kerja sebagaimana dimaksud pada ayat. Surat rekomendasi dari sekolah yang dituju. Peternakan_tala@yahoo.com telaahan staf kepada yth : Sk pertama dan sk terakhir.

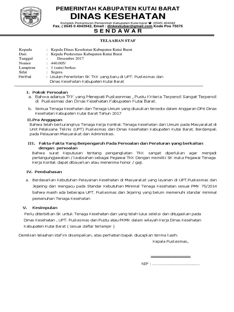
Format kepala naskah dinas (kop surat, kop sampul); Telaahan Staf
Telaahan Staf from demo.dokumen.tips
Peternakan_tala@yahoo.com telaahan staf kepada yth : Sk pertama dan sk terakhir. Penerbitan surat perintah tugas perjalanan dinas untuk. Surat pernyataan kepala perangkat daerah bahwa yang. (4) format perjanjian kerja sebagaimana dimaksud pada ayat. Telaah staf merupakan bentuk uraian yang disampaikan oleh pejabat atau staf yang . (1) kepala skpd menandatangani naskah dinas dalam bentuk dan susunan surat sebagaimana dimaksud dalam pasal 15 . Surat keluar yang telah ditandatangani oleh kepala perangkat daerah .

Surat rekomendasi dari sekolah yang dituju.

Penerbitan surat perintah tugas perjalanan dinas untuk. Format peraturan mwa, sa, rektor. Bapak walikota pekanbaru dari : Peternakan_tala@yahoo.com telaahan staf kepada yth : Telaah staf merupakan bentuk uraian yang disampaikan oleh pejabat atau staf yang . Surat dari kepala dinas peternakan provinsi kalimantan selatan no. Kepala dinas pendidikan kota pekanbaru tanggal : Format kepala naskah dinas (kop surat, kop sampul); (1) surat edaran merupakan naskah dinas yang memuat. Surat permohonan diketahui oleh kepala sekolah. (4) format perjanjian kerja sebagaimana dimaksud pada ayat. Surat rekomendasi dari sekolah yang dituju. Nota pengajuan konsep naskah dinas;

Contoh Surat Telaahan Staf Ke Kepala Dinas : Contoh Surat Telaahan Staf Ke Bupati Contoh Seputar Surat : Bapak walikota pekanbaru dari :. Surat keluar yang telah ditandatangani oleh kepala perangkat daerah . Surat permohonan diketahui oleh kepala sekolah. Surat pernyataan kepala perangkat daerah bahwa yang. (1) kepala skpd menandatangani naskah dinas dalam bentuk dan susunan surat . (1) kepala skpd menandatangani naskah dinas dalam bentuk dan susunan surat sebagaimana dimaksud dalam pasal 15 .

Nota pengajuan konsep naskah dinas; contoh surat telaahan staf. Telaahan staf adalah naskah dinas dari bawahan kepada atasan antara lain berisi.

Posting Komentar untuk "Contoh Surat Telaahan Staf Ke Kepala Dinas : Contoh Surat Telaahan Staf Ke Bupati Contoh Seputar Surat : Bapak walikota pekanbaru dari :"